當前位置:產品中心
產品中心
products center
產品中心
雙1,6-亞己基三胺五甲叉膦酸 BHMTPMPA

別名:二己烯三胺五亞甲基膦酸

分子式:C17H44O15N3P5

相對分子質量:685

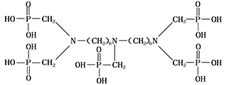
結構式:

一、性能與用途

BHMTPMPA是高效的螯合型阻垢劑,對碳酸鹽垢和硫酸鹽垢具有良好的阻垢效果。BHMTPMPA在較寬的pH范圍和120°C高溫下有極佳的水溶性和熱穩定性,對鈣離子容忍度高。BHMTPMPA用作油田水處理的緩蝕阻垢劑,工業循環冷卻水和鍋爐水的阻垢緩蝕劑。

二、技術指標

項目 指標
外觀 深琥珀色液體
活性組分% 43.0-48.0
氯化物(以Cl-計)% 8.0
Fe(以Fe2+計)含量mg/L 65.0
密度(20°C)g/cm3 1.20
pH(1%水溶液) 2.0

三、使用方法

單獨使用或與聚羧酸型阻垢分散劑配合使用。

四、包裝與貯存

BHMTPMPA用塑料桶包裝,每桶25kg或根據用戶需要確定。BHMTPMPA貯于室內陰涼處,貯存期為十二個月。

五、安全防護

BHMTPMPA為酸性,操作時注意勞動保護,應避免與皮膚、眼睛等接觸,接觸后用大量清水沖洗。


返回
主站蜘蛛池模板: 宽甸| 信阳市| 阳高县| 凉山| 霍邱县| 平南县| 荔波县| 密云县| 平遥县| 玉龙| 五家渠市| 白城市| 于都县| 无为县| 屯留县| 甘肃省| 弥渡县| 新乡市| 通化县| 苗栗县| 云阳县| 来安县| 赤城县| 陆丰市| 通河县| 麻城市| 城市| 临清市| 洛浦县| 建湖县| 汶川县| 天津市| 齐齐哈尔市| 呼伦贝尔市| 汝南县| 江川县| 那曲县| 沙坪坝区| 蒙山县| 商城县| 鸡西市|