當前位置:產品中心
產品中心
products center
產品中心
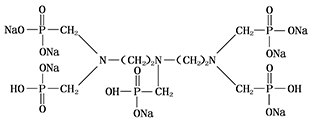
二乙烯三胺五甲叉膦酸七鈉 DTPMP·Na7

分子式:C9H21O15N3P5Na7

相對分子質量:727

結構式:

一、性能與用途

DTPMP·Na7可用作阻垢劑、高效螯合劑、優良的BaSO4阻垢劑,DTPMP·Na7廣泛用于冷卻水處理、過氧化物漂白的穩定劑、洗滌助劑、市政工業清潔用水、地熱水處理、油田阻垢。

二、技術指標

項目 指標
外觀 紅棕色液體
活性組分(以DTPMPA計) % 31.5-33.5 24.0-26.0
活性組分(以DTPMP·Na7計) % 40.0-42.5 30.5-33.0
總磷含量(以PO43-計) % 25.9-27.9 19.7-21.7
氯化物(以Cl-計) % 5.0 5.0
Fe(以Fe2+計)含量mg/L 20.0 20.0
pH(1%水溶液) 7.0-9.0 7.0-9.0
pH(原液) 6.0-8.0 6.0-8.0
密度(20°C) g/cm3 1.34-1.44 1.24-1.34

三、包裝與貯存

DTPMP·Na7用塑料桶包裝,每桶25kg或250kg,也可根據用戶需要確定。貯于室內陰涼處,貯存期十個月。

四、安全防護

DTPMP·Na7為中性,操作時注意勞動保護,應避免與皮膚、眼睛等接觸,接觸后用大量清水沖洗。


返回
主站蜘蛛池模板: 连平县| 青浦区| 白山市| 大理市| 都兰县| 渑池县| 霸州市| 平潭县| 博爱县| 渭源县| 巴彦县| 潜山县| 廉江市| 黑水县| 贺州市| 耒阳市| 彭泽县| 二连浩特市| 巫溪县| 神农架林区| 乌鲁木齐县| 屏东市| 固原市| 沁阳市| 澜沧| 松潘县| 灌南县| 临洮县| 连江县| 同仁县| 扶余县| 建始县| 鄂托克前旗| 嘉义县| 讷河市| 蚌埠市| 宝应县| 乌海市| 晋江市| 阿拉善右旗| 即墨市|